Please verify you are a human

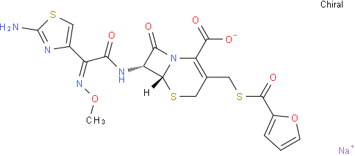
Ceftiofur sodium salt

CAS NO.:
Catelog number:
MDL NO.:
Molecular weight:
Molecular formula:
Pack Size Stock List Price Your Price Quantity Add to cart
Sorry, there is no price information yet
Basic information
Cas No. 104010-37-9
Chemical Name Ceftiofur sodium salt
MDL No. MFCD00511094
Molecular Formula C19H16N5NaO7S3
Molecular Weight 545.54
Character 淡黄色粉末
Melting Point
Boiling Point
Density
Water Solubility
Security information
UN No.
Safety Statements
Storage Temp. 2-8°C
Physicochemical Propertie
Chemical Stability
Transport Condition 正常
Product Details

Sorry, there are currently no product details available

Related Literature

Sorry, there is currently no relevant literature available