Please verify you are a human
Home > Product Catalog > Aliphatic group > alkane > (R)-tert-Butyl (4-oxobutan-2-yl)carbamate

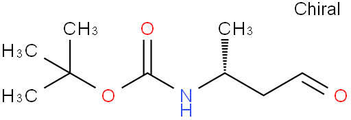
(R)-tert-Butyl (4-oxobutan-2-yl)carbamate

CAS NO.:
Catelog number:
MDL NO.:
Molecular weight:
Molecular formula:
Pack Size Stock List Price Your Price Quantity Add to cart
Sorry, there is no price information yet
Basic information
Cas No. 497861-77-5
Chemical Name (R)-tert-Butyl (4-oxobutan-2-yl)carbamate
MDL No. MFCD18835622
Molecular Formula C9H17NO3
Molecular Weight 187.24
Character
Melting Point
Boiling Point
Density
Water Solubility
Security information
UN No.
Safety Statements
Storage Temp. -20°C
Physicochemical Propertie
Chemical Stability
Transport Condition 正常
Product Details

Sorry, there are currently no product details available

Related Literature

Sorry, there is currently no relevant literature available