Please verify you are a human
Home > Product Catalog > Organic phosphorus reagent > Organic phosphorus reagent > Diethyl (2-(methoxy(methyl)amino)-2-oxoethyl)phosphonate

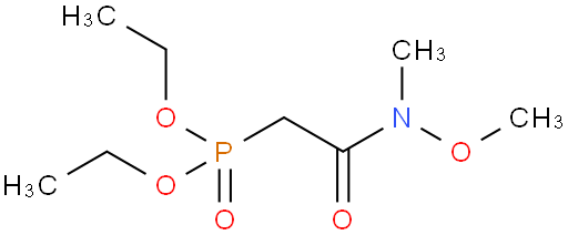
Diethyl (2-(methoxy(methyl)amino)-2-oxoethyl)phosphonate

CAS NO.:
Catelog number:
MDL NO.:
Molecular weight:
Molecular formula:
Pack Size Stock List Price Your Price Quantity Add to cart
Sorry, there is no price information yet
Basic information
Cas No. 124931-12-0
Chemical Name Diethyl (2-(methoxy(methyl)amino)-2-oxoethyl)phosphonate
MDL No. MFCD00134233
Molecular Formula C8H18NO5P
Molecular Weight 239.20
Character
Melting Point
Boiling Point
Density
Water Solubility
Security information
UN No.
Safety Statements
Storage Temp. 室温
Physicochemical Propertie
Chemical Stability
Transport Condition 正常
Product Details

Sorry, there are currently no product details available

Related Literature

Sorry, there is currently no relevant literature available