Please verify you are a human
Home > Product Catalog > heteroaromatic compound > Imidazole > 1-(BENZYLOXY)-1H-IMIDAZOLE

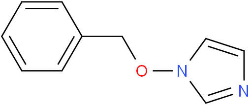
1-(BENZYLOXY)-1H-IMIDAZOLE

CAS NO.:
Catelog number:
MDL NO.:
Molecular weight:
Molecular formula:
Pack Size Stock List Price Your Price Quantity Add to cart
Sorry, there is no price information yet
Basic information
Cas No. 121779-19-9
Chemical Name 1-(BENZYLOXY)-1H-IMIDAZOLE
MDL No. MFCD01814553
Molecular Formula C10H10N2O
Molecular Weight 174.19
Character
Melting Point
Boiling Point
Density
Water Solubility
Security information
UN No.
Safety Statements
Storage Temp. 2-8°C
Physicochemical Propertie
Chemical Stability
Transport Condition 正常
Product Details

Sorry, there are currently no product details available

Related Literature

Sorry, there is currently no relevant literature available